Official List of Candidates for Election
of 2026 PMAP Officers and Trustees
For the position of President
ENGELBERT T. CAMASURA, FPM “GILBERT”


Close
ROLAND T. SUICO, AFPM “ALLAN”

Close
For the position of Vice President
JOVIE ANNE M. MONSALUD, FPM “JOVIE”


Close
For the position of Secretary
GRACE S. ILIGAN “GRACE”

C. Help the organisation in strengthening good governance principles. Ensures proper record keeping. Advocate transparency, integrity and responsible communication. And continue to help in strengthening financial stability of the organisation by working strategically with the ways and means team, creating relevant programs beneficial to the organisation, members and sponsors.
Close
For the position of Treasurer
MARIA SOLEDAD D. AMIR, FPM “SOL”

Close
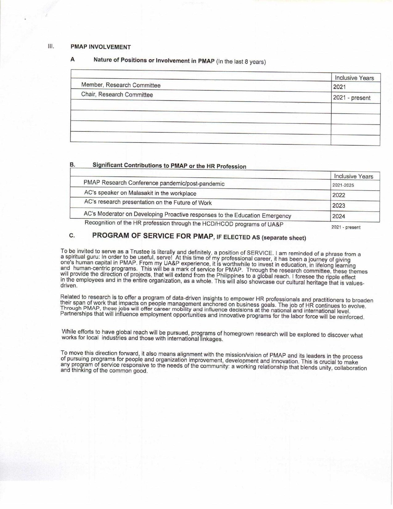
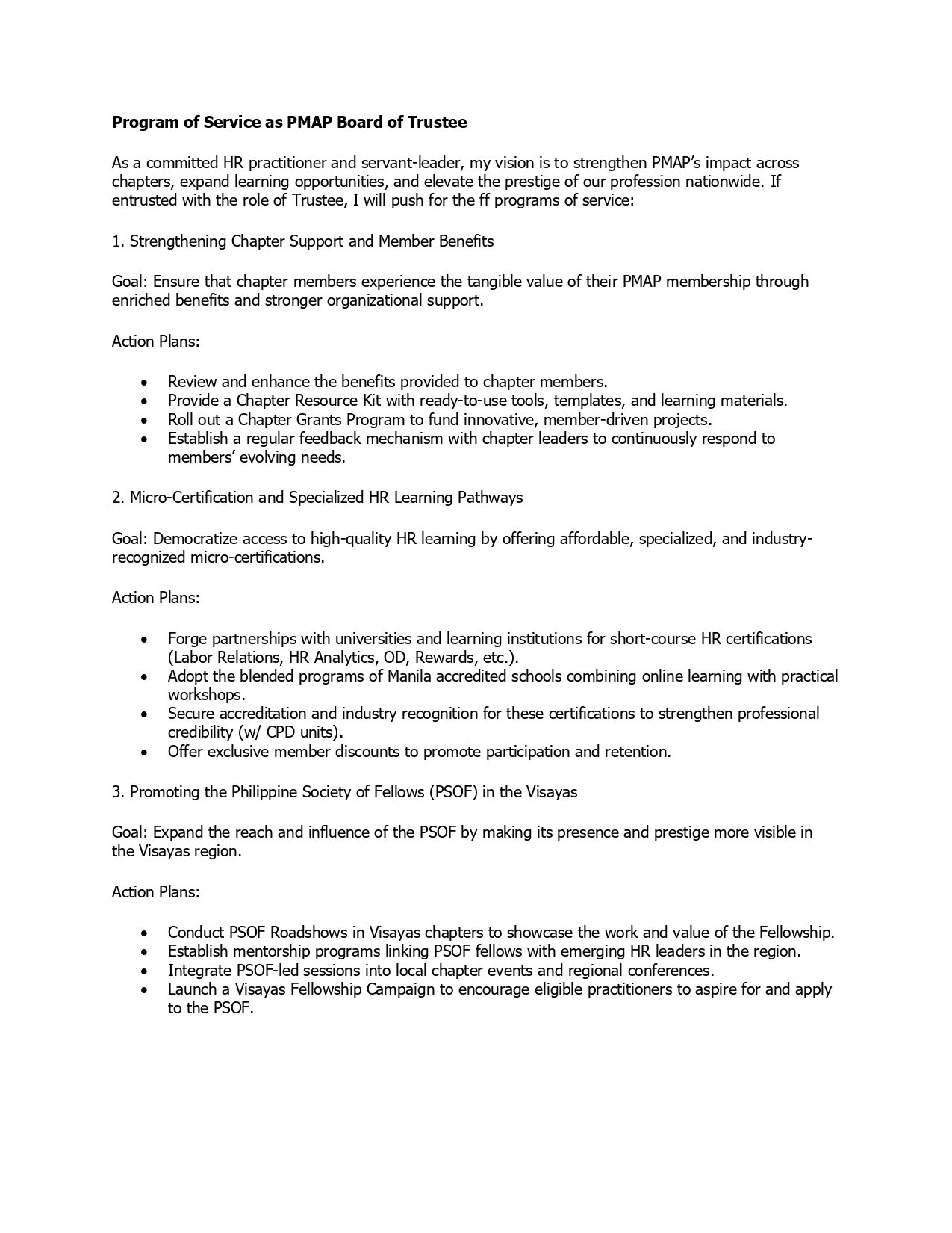
For the position of Board of Trustees
ATTY. LILIBETH R. CARAO “LRC”

Close
ESTHER PAULINE M. GARCIA, AFPM “PAU”

Close
JEREMIE D. GOMEZ, AFPM “JEMAI”

Close
VIENNALYN A. GRAJO “VIEN”

Close
MARY GRACE M. JOBOCO “GRACE”
Close
SOCORRO R. ONG “CORI”

Close
ENRICO P. RECIO, AFPM “RICO”

Close
DR. JESUSA R. REYES, PhD “JOSETTE”
Close
JOSEPH LAWRENCE M. REYES “OJEP”

Close
CYNTHIA LYNNE Y. SARAYBA, AFPM “CYNTHIA”

Close
MARK JOHN R. VITUG “MACKY”


Close



